Дайджест

“Ощадбанк” замовить реклами на телебаченні на 9 мільйонів

Published

on

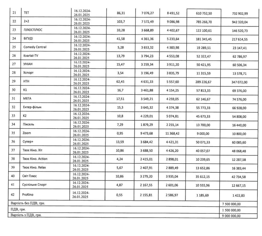
29 листопада АТ “Ощадбанк” замовили розміщення реклами на телебаченні на 9 000 000 гривень.

На торгах переміг ТОВ “СТАР АП ПЛЮС”, який не торгувався.

ТОВ зареєстрований у 2020 році. Має два контракти у Prozorro на 38 мільйонів гривень. Раніше співпрацював з “УКРПОШТОЮ” та вище згаданим замовником.

Послуги нададуть до 26 січня 2025 року.

Популярно

Exit mobile version